腐漫画
English
×
腐漫画
腐漫画概况
×
腐漫画简介
组织架构
×
党政团队
组织机构
办公机构
群团组织
历任领导
×
分党委(党总支)书记
系主任
历史沿革
师资队伍
×
学术带头人
×
院士
国家杰青等人才计划获得者
国家级青年人才计划获得者
兼职与名誉教授
×
兼职院士
名誉教授
教职员工
×
按职称
按部门
科学研究
×
科研机构
科研成果
×
科研进展
科技奖项
共享仪器平台
×
仪器列表
规章制度
人才培养
×
本科生培养
×
材料物理专业
材料化学专业
电子科学与技术专业
研究生培养
×
专业介绍
学位工作
招生信息
×
本科大类招生
专业分流与转专业
硕士招生
博士招生
专业学位招生
国际交流
下载专区
师生园地
×
党建活动
学生风采
工会活动
退休之家
×
退休教职工名录
活动风采
校友专栏
×
理事会
校友动态
校友名录
毕业留影
人事招聘
腐漫画
腐漫画概况
腐漫画简介
组织架构
历任领导
历史沿革
师资队伍
学术带头人
兼职与名誉教授
教职员工
科学研究
科研机构
科研成果
共享仪器平台
人才培养
本科生培养
研究生培养
招生信息
国际交流
下载专区
师生园地
党建活动
学生风采
工会活动
退休之家
校友专栏
理事会
校友动态
校友名录
毕业留影
人事招聘
科研进展
科研机构
科研成果
科研进展
科技奖项
共享仪器平台
科学研究
科研机构
科研成果
科研进展
科技奖项
共享仪器平台
科研进展
腐漫画
科学研究
科研成果
科研进展
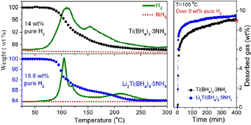
余学斌课题组最新成果发表在国际著名学术期刊Chem. Mater. (IF7.268)上
发布时间:2015-05-11 浏览次数:
73
Feng Yuan, Qinfen Gu, Xiaowei Chen, Yingbin Tan, Yanhui Guo, and Xuebin Yu* Complex Ammine Titanium(III) Borohydrides as Advanced Solid Hydrogen-Storage Materials with Favorable Dehydrogenation Properties, Chem. Mater., 2012, 24 (17), 3370–3379.